Co to jest RSSO?
Rzeczywista Roczna Stopa Oprocentowania, w skrócie RRSO, to całkowity koszt kredytu hipotecznego ponoszony przez Klienta, wyrażony jako wartość procentowa całkowitej kwoty kredytu w stosunku rocznym.
Decydując się na zaciągnięcie kredytu sprawdzasz różne jego parametry, w tym między innymi RRSO, ale czy na pewno robisz to dobrze? Problem polega na tym, że większość Klientów nie wie, ja ma interpretować ten wskaźnik.
W dzisiejszym wpisie postaram się rzucić światło na ten temat ze swojego punktu widzenia i poruszę kwestie:
- Jak wylicza się RRSO? Od czego zależy jej wartość?
- Jakie regulacje odnośnie RRSO wprowadziła ustawa o kredycie hipotecznym?
- Czy przy porównywaniu ofert kredytów hipotecznych warto brać pod uwagę wyłącznie RRSO i jak ją analizować?
Jak oblicza się całkowity koszt kredytu hipotecznego?
RRSO może przyjmować zupełnie odmienne wartości w zależności od różnego czasu kredytowania. Wyobraźmy sobie sytuację, w której chcesz wziąć dwa kredyty, każdy na tę samą kwotę, ale na inny okres kredytowania. Na tym przykładzie zauważysz, że wysokość RRSO znacznie się różni. Kiedy zaciągasz kredyt na dłuższy okres, jego całkowite koszty
z pewnością będą wyższe.
Do RRSO wliczają się takie parametry jak ubezpieczenie kredytu czy prowizja dla banku,
a także wiele innych części składowych, które są uzależnione od oferty banku. Mówiąc ogólnie – im więcej takich części, tym wyższą wartość RRSO generują.
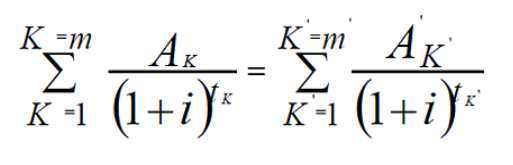
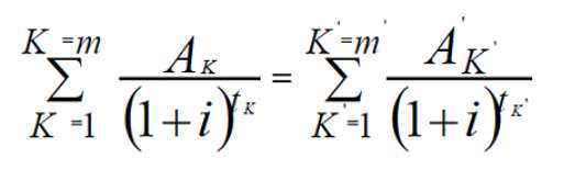
i umiejętności w tym zakresie. Poniżej załączam wzór dla ambitnych.

Najlepiej więc zwrócić się z prośbą do wybranego przez siebie eksperta kredytowego
o wyliczenie wysokości RRSO. W naszym Centrum Finansowym z pewnością pomożemy Ci zbadać wysokość RRSO i wyjaśnimy wszelkie wątpliwości.
Ustawa o kredycie hipotecznym – co z RRSO?
Jesteśmy zdania, że wprowadzenie w życie Ustawy o kredycie hipotecznym i nadzorze nad pośrednikami znacznie rozjaśniło sytuację na linii bank – klient i w końcu regulacje prawne są po stronie konsumentów. Dzięki tej ustawie uregulowanych zostało wiele aspektów, m.in. taki, że bank zobowiązany jest poinformować Klienta w umowie kredytowej o wszystkich ponoszonych przez niego kosztach związanych z zaciągnięciem kredytu hipotecznego.
Porównanie RRSO z innymi parametrami
RRSO jest wskaźnikiem przedstawiającym zarówno koszty kredytu jak i wartość pieniądza na przestrzeni czasu. Ten ostatni element wprowadza największe zamieszanie w umyśle osoby, która próbuje zrozumieć działanie oprocentowania rzeczywistego. Sporo osób myśli, że im niższa RRSO, tym niższe koszty kredytu. Takie myślenie jest, niestety, błędne.
Przeanalizujmy dwa kredyty na tę samą kwotę, o różnej długości czasu spłaty, ale takim samym oprocentowaniu, zauważymy znaczącą dysproporcję. Z naszego doświadczenia możemy stwierdzić, że za kredyt hipoteczny zaciągnięty na 30 lat zapłacisz w sumie znacznie więcej, niż za kredyt zaciągnięty na 20 lat. Jednak ze względu na krótszy okres spłaty RRSO kredytu na 20 lat będzie wyższa niż RRSO kredytu na 30 lat.
Wysokość RRSO zależy również od wybranego rodzaju rat – czy są stałe, czy też malejące. Warto zwrócić uwagę, że wybierając raty malejące RRSO jest wyższa, aczkolwiek koszt kredytu jest niższy. To kolejny dobry przykład, jak sami możemy się wprowadzić w błąd biorąc pod rozwagę jedynie wartość RRSO. Przy kredytach gotówkowych różnice mogłyby pozostać niezauważone, ale przy kredytach hipotecznych są to znacznie większe sumy – tu nawet ułamki procenta od wysokości kilkuset tysięcy złotych mają ogromne znaczenie.
Jak podjąć właściwą decyzję przy zaciąganiu kredytu hipotecznego?
Możesz przeanalizować oferty banków samodzielnie lub z pomocą eksperta kredytowego. Jeżeli wybierzesz pierwszą opcję, polecam Ci stworzenie tabeli, w której zestawisz kilka ofert banków w oparciu o wybrane parametry i dzięki temu łatwiej podejmiesz trafną decyzję.
Pamiętaj o kilku istotnych sprawach. Przede wszystkim porównuj oferty analogicznie. To znaczy, nie porównuj kredytu 20-letniego z 30-letnim, ani kredytów z ratami równymi z kredytami z ratami malejącymi, inaczej takie porównanie nie będzie wiarygodne. Ponadto zawsze zwracaj uwagę, czy w RRSO jest już zawarta prowizja banku, koszty ubezpieczenia czy też inne elementy, które mogły zostać pominięte i mogą zaburzyć wyniki analizy.
Ekspert kredytowy musi przedstawić ci wyżej wymienione informacje na piśmie, co z pewnością ułatwi Ci podjęcie owocnej decyzji.
Dowiedz się jak przygotować się do kredytu hipotecznego. Pobierz mój BEZPŁATNY E-BOOK.



+48 508 922 392
biuro@ewarozanska.pl